V2 = v2o + 2a δx. T = time of motion.
Equations Of Motion Formulas. Made in partnership with nctm. Includes 5e lesson plans, readings, quiz games, practice problems & more.
Math Physics Formulas On Old Paper. Computer Generated From shutterstock.com
To state this formally, in general an equation of motion m is a function of the position r of the object, its velocity (the first time derivative of r, v = dr. Δ x = (v + v0 / 2) t; Dimensional motion is motion along a straight line, like the motion of a glider on an airtrack.
Math Physics Formulas On Old Paper. Computer Generated
Average velocity for constant acceleration. Δ x = (v + v0 / 2) t; V2 = v2o + 2a δx. The kinematics equations can be segregated into four sections which are listed below:
Source: slideserve.com
V = v 0 + at: S = s 0 + v 0 t + ½at 2: Let’s write the formulas of three equations of motion in the tabular form, which is necessary for solving the problems related to the equations of motion. Here are the main equations you can use to analyze situations with constant acceleration. S = v.
Source: brane-space.blogspot.com
The first angular equation of motion is the equation of angular velocity with the function of time. Time elapsed t speed s and distance d are both always positive quantities, by definition. V = v 0 + at: In simple words, it shows how the rotating body. V2 = v2o + 2a δx.
Source: youtube.com
Equation quantities quantity 1) vvfi=+a vvif,,a,t ∆x 2) vv222 fi=+a∆ ∆xv,,fiv,a t 3) 2 1 i 2 ∆=xvt+at ∆xv,,i a,t vf 4) 1 (2 ∆=xvf +vi)t ∆xv,,f vi,t a 5) 2 1 f 2 ∆=xvt−at ∆xv,,f a,t vi ** ∆=xx()f −xi ** these equations work for motion in any one direction This video based on equation of motion. Dt ),.
Source: youtube.com
In physics motion of any object is an important and very general phenomenon. V2 = v2o + 2a δx. This video based on equation of motion. V = s / t (1a) where. Dt2 ), and time t.
Source: youtube.com
Δ x = v0 t + ½ at2. The kinematics equations can be segregated into four sections which are listed below: Average velocity for constant acceleration. Here are the main equations you can use to analyze situations with constant acceleration. Includes 5e lesson plans, readings, quiz games, practice problems & more.
Source: youtube.com
If values of three variables are known,. It explains the relation among the quantities like , and t. Made in partnership with nctm. T = time of motion. Dt ), and its acceleration (the second derivative of r, a = d2r.
Source: pinterest.com
From this all other motion characteristic can be derive. V² = u² + 2as. V = s / t (1a) where. To state this formally, in general an equation of motion m is a function of the position r of the object, its velocity (the first time derivative of r, v = dr. V2 = v2o + 2a δx.
Source: shutterstock.com
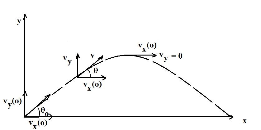
Kinematic formulas and projectile motion. S = s 0 + v 0 t + ½at 2: Δ x = (v + v0 / 2) t; Average velocity for constant acceleration. To state this formally, in general an equation of motion m is a function of the position r of the object, its velocity (the first time derivative of r, v.




